|
State of Florida
|
Public Service Commission Capital Circle Office Center ● 2540 Shumard
Oak Boulevard -M-E-M-O-R-A-N-D-U-M- |
||
|
DATE: |
|||
|
TO: |
Office of Commission Clerk (Teitzman) |
||
|
FROM: |
Division of Economics (P. Kelley) Office of the General Counsel (Sandy) |
||
|
RE: |
|||
|
AGENDA: |
05/06/25 – Regular Agenda – Tariff Filing – Interested Persons May Participate |
||
|
COMMISSIONERS ASSIGNED: |
|||
|
PREHEARING OFFICER: |
|||
|
7/20/25 (8-Month Effective Date) |
|||
|
SPECIAL INSTRUCTIONS: |
|||
On November 20, 2024, Florida Public Utilities Company (FPUC) and Florida City Gas (FCG) (jointly, the Companies) filed a joint petition for approval of standardization and alignment of the Parties’ transportation service tariffs and to implement a flexible gas service tariff for Florida City Gas. The Companies are not proposing any rate changes at this time. Instead, the Parties state this petition is an ongoing effort to eliminate inconsistencies and to standardize their individual transportation service programs.
In September 2023, Chesapeake Utilities Corporation (Chesapeake) purchased FCG from NextEra Energy, making Chesapeake the parent company of both FCG and FPUC. Since the acquisition, the Parties have taken steps to standardize the tariffs of FPUC and FCG. FPUC and FCG currently have in place separate Commission-approved tariffs and will continue to do so, at this time. The Companies stated that it is their goal in a future filing to request Commission-approval for a single consolidated tariff, including consolidated rates.
The Commission has previously approved for FPUC, FPUC - Indiantown Division (Indiantown), FPUC - Fort Meade (Ft. Meade), and the Florida Division of Chesapeake Utilities Corporation (Chesapeake) a similar consolidation of the utilities’ four different Commission-approved tariffs to align terms and conditions.[1]
By Order No. PSC-2025-0030-PCO-GU, issued January 27, 2025, the Commission suspended the proposed tariffs to allow staff sufficient time to analyze the utility’s filing, pursuant to Section 366.06(3), Florida Statutes (F.S.).[2] Commission staff issued its first data request to the Parties on March 17, 2025, which the Companies provided their responses on March 31, 2025.
FCG’s revised tariff sheets are shown in Attachment A to the recommendation. FPUC’s revised tariff sheets are shown in Attachment B to the recommendation. The Commission has jurisdiction over this matter pursuant to Sections 366.03, 366.04, 366.05, and 366.06, F.S.
Issue 1:
Should the Commission approve the Companies' proposed tariff changes to standardize and align the transportation service programs and to implement a flexible gas service for FCG?
Recommendation:
Yes. The Commission should approve the Companies’ proposed tariff changes to standardize and align the transportation service programs and to implement a flexible gas service for FCG. After reviewing the Companies’ filings and supporting documentation, the changes appear to align the Companies’ tariffs and are reasonable. For the proposed tariff changes to FCG’s tariff (Attachment A to the recommendation) the Companies are requesting the Commission give staff administrative authority to approve the tariffs, which would be no earlier than September 1, 2025. The proposed changes to FPUC’s tariff (Attachment B to the recommendation) should go into effect 30 days from the date of the Commission vote. (P. Kelley)
Staff Analysis:
Revisions to FCG’s Tariffs
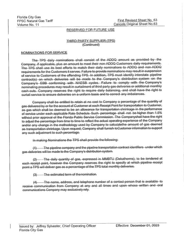
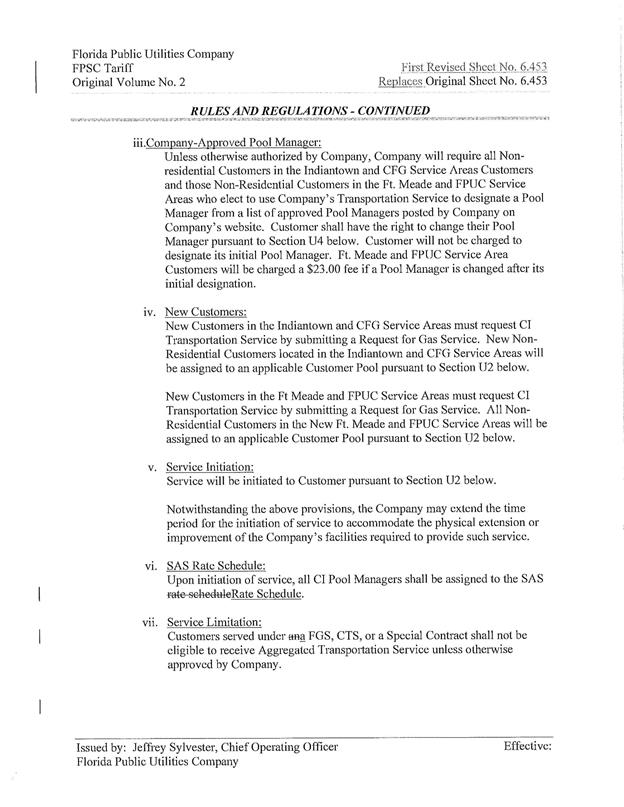
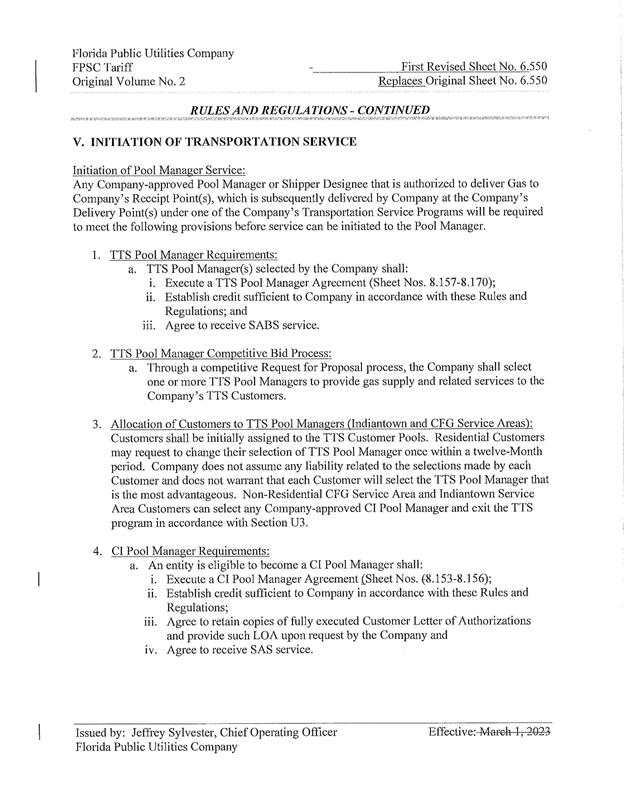
The Companies are proposing FCG adopt FPUC’s transportation service programs that have been approved by Order No. PSC-2023-0103-FOF-GU.[3] Transportation service applies to customers that purchase their natural gas supplies from shippers, or pool managers. Both FCG and FPUC offer two transportation programs: aggregated pool service and individual transportation service. Key transportation tariff provisions are discussed below.
First, the Companies seek implementation of consistent tariff provisions regarding contact persons available to receive communications from the Companies on operating matters at any time, maintaining proper system pressure, operational flow order notices,[4] alert day notices, pipeline balancing charges, and disposition of penalties.
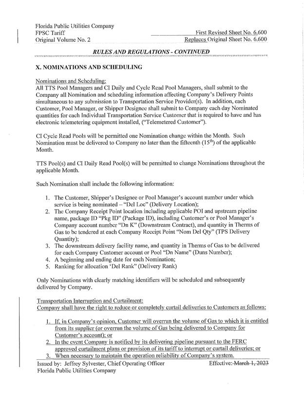
Second, the Companies seek implementation of a consistent daily demand requirement (DDR) calculation and allocation process across the Parties’ platforms. The DDR represents at any given day the total demand requirement of all customers participating in a transportation pool. This would align their DDR calculation and quantity capacity release methodology for each month after adequate capacity is allocated to the Parties’ regulated sales service pool (sales service applies to customers who purchase their natural gas from the Companies). The Parties would then determine the aggregated DDR to be sent to each transportation service pool manager.
The Companies also seek to standardize the Companies’ interstate pipeline capacity release calculations through their service agreements with Transportation Service Providers (TSP). The TSPs are defined as the interstate, intrastate, or local distribution companies that transport natural gas. The Companies’ would retain adequate quantities of capacity on the TSP’s systems to serve their regulated sales service customers pool prior to the allocation of capacity to pool managers or individual transportation service customers.
Finally, FCG is proposing to adopt the existing FPUC Off System Sales Service-1 (OSSS-1) rate schedule and associated form. Off system sales are interruptible sales the Companies can make to a customer that is not connected to the Company’s distribution system. Fifty percent of the net revenues of such sales are retained by the utility and the remaining 50 percent are credited to the Purchased Gas Adjustment Clause.
Other changes to the tariffs would modify FCG’s technical terms and abbreviations to include the terms and abbreviations that apply under the proposed standardized tariff. Any unused terms or abbreviations in the proposed tariffs have been deleted. Changes to rules and regulations section of the transportation tariffs have been made for the classification of customers, pool managers, and services and have all been added and lists all applicable customer classifications.
The Companies stated that to implement the standardized gas management system for FCG, it would take six months or longer to ensure that the customer data for FCG’s transportation customers are correctly set up. Therefore, the Companies requested that they will notify staff of the final implementation date, for administrative approval of the changes to the FCG tariffs, no earlier than September 1, 2025.
Revisions to FPUC’s Tariffs
The Companies explained that FPUC reviewed its existing tariff to ensure it is correct and reflects actual and best industry practices. The changes to FPUC’s tariffs focus on updating and clarifying changes and include adopting FCG language for determining an imbalance and assessing appropriate penalties, correcting sheet numbers, and removing duplicative wording.
Changes to the FPUC tariff include adopting FCG’s tariff language regarding the Companies’ interruption and curtailment rights when the customer will use a greater volume of gas to which customer is entitled, or the Company is notified by the delivering pipeline to interrupt or curtail deliveries, or when necessary to maintain operational reliability of the Company’s system. The tariff provides that the Companies will endeavor to give as much notice as possible to the transportation customer in the event of interruption or curtailment.
Changes to the FPUC tariff also include the adoption of FCG’s tariff language regarding daily balancing provisions. The Companies are required to balance the gas requirements of transportation service and actual gas deliveries on a daily basis. Pool managers are assessed per therm charges for imbalances (which can be over- or under-deliveries of natural gas) over five percent.
Flexible Gas Service Tariff for FCG
FCG is asking for Commission approval to adopt FPUC’s Flexible Gas Service (FGS) option in its tariff. The FGS tariff applies to customers, especially large industrial customers that have multiple fuel options available to them. These options include the ability to bypass the Companies’ distribution system and connect directly to interstate or intrastate pipelines, or replace natural gas with fuel oil or electricity.
The FGS tariff is available at the Companies’ option to current and new customers who meet two applicability standards. First, the customer must provide verifiable documentation of a viable economic energy alternative. Second, the Company must demonstrate that the new customer will not cause any additional cost to the Company’s general body of ratepayers. The negotiated terms of service under the FGS tariff will be set forth in individual agreements between the Company and the customer. The negotiated FGS rates will not be set lower than the incremental cost of providing service to the customer. The individual agreements will not require Commission approval.
The Commission has previously approved similar FGS tariffs for natural gas utilities in Florida in Order Nos. PSC-98-1485-FOF-GU[5] and PSC-2014-0710-TRF-GU.[6] Furthermore, FCG used to have a Commission-approved FGS tariff, which was approved in 1996.[7] However, the Companies explained that FCG later cancelled the FGS tariff in its 2017 rate case because, at the time, it was not being utilized.[8] In response to staff’s data request, the Companies explained that they have received now inquiries from large users that currently have alternate energy options.
The FGS tariff provides that the shareholders are at risk of any investments made to serve an FGS customer, not the general body of ratepayers. The proposed tariffs incorporate accounting measures which are designed to protect the Companies’ general body of ratepayers by placing all capital costs, expenses, and revenues associated with this tariff below-the-line in earnings surveillance reports and future rate cases.
FPUC Convergence Gas Transportation System
The Parties are currently operating under two different software systems, with FCG using the Gas Star system to manage gas transportation. FCG is switching to provide the Parties with a gas management portal that can easily accommodate changes in the industry and with gas delivery, make day to day operations easier for suppliers and business partners, and consolidate administrative and business procedures which would reduce errors.
Conclusion
The Companies
state that they have informed the pool managers through letters and follow-up
phone calls of the proposed tariff revisions to implement a standardized
transportation program and if the Commission approved the requested tariff
revisions, the Companies plan to further meet with the pool managers to discuss
the transition.
Staff
recommends that the Commission should approve the Parties’ proposed tariff
changes to standardize and align the transportation service programs and
flexible gas service for FCG. After reviewing the Parties’ filings and
supporting documentation, the changes appear to align the Parties’ tariffs and
are reasonable. For the proposed tariff changes to FCG’s tariff (Attachment A
to the recommendation) the Companies are requesting the Commission give staff
administrative authority to approve the tariffs, which would be no earlier than
September 1, 2025. The proposed changes to FPUC’s tariff (Attachment B to the
recommendation) should go into effect 30 days from the date of the Commission
vote.
Issue 2:
Should this docket be closed?
Recommendation:
No. If a protest is filed within 21 days of the issuance of the Order, the tariff should remain in effect and held subject to refund pending resolution of the protest. If no timely protest is filed, a Consummating Order should be issued. This docket should remain open for staff’s verification that FCG’s tariffs have been filed and implemented. Once staff has verified that FCG’s tariffs have been filed and implemented, the docket should be closed administratively. (Sandy)
Staff Analysis:
If a protest is filed within 21 days of the issuance of the Order, the tariff should remain in effect and held subject to refund pending resolution of the protest. If no timely protest is filed, a Consummating Order should be issued. This docket should remain open for staff’s verification that FCG’s tariffs have been filed and implemented. Once staff has verified that FCG’s tariffs have been filed and implemented, the docket should be closed administratively.







































































































































[1] Order
No. PSC-2021-0148-TRF-GU, issued April 22, 2021, in Docket No. 20200214-GU, In re: Joint petition of
Florida Public Utilities Company, Florida Public Utilities Company-Indiantown
Division, Florida Public Utilities Company-Fort Meade, and the Florida Division
of Chesapeake Utilities Corporation for approval of consolidation of tariffs,
for modifications to retail choice transportation service programs, and to
change the MACC for Florida Public Utilities Company.
[2] Order No. PSC-2025-0030-PCO-GU, issued January 27, 2025, in Docket No. 20240159-GU, In re: Joint petition by Florida Public Utilities Company and Florida City Gas for approval of tariff changes to standardize and align Florida Public Utilities Company and Florida City Gas's transportation service tariffs and to implement a flexible gas service tariff for Florida City Gas.
[3] Order
No. PSC-2023-0103-FOF-GU, issued March 15, 2023, in Docket No 20220067-GU, In re: Petition for approval of rate
adjustment, depreciation study, consolidated rates and rate structure under
FPUC, and request for interim rate relief.
[4] An operational flow order is defined as any day where Companies notify the transportation customer or pool manager of conditions that could threaten the safe operation or the system integrity.
[5] Order
No. PSC-98-1485-FOF-GU, issued November 5, 1998, in Docket No. 19980895-GU, In re: Petition
for authority to implement proposed flexible gas service rate tariff and revise
certain tariff sheets.
[6] Order No. PSC-2014-0710-TRF-GU, issued December 30, 2014, in Docket No. 20140204-GU, In re: Joint petition for approval of flexible gas service tariff.
[7] Order
No. PSC-96-1218-FOF-GU, issued September 24, 1996, in Docket No. 960920-GU, In re: Petition for approval of flexible
service tariff by City Gas Company of Florida.
[8] Order
No. PSC-2018-0190-FOF-GU, issued April 20, 2018, in Docket No. 20170179-GU, In re: Petition for rate increase by Florida
City Gas.